Kegunaan Bijih Timah Kepada Masyarakat Melayu - Ianya digali untuk kegunaan puteri hang li poh.

Kegunaan Bijih Timah Kepada Masyarakat Melayu - Ianya digali untuk kegunaan puteri hang li poh.. Masyarakat di melaka secara kasar boleh dibahagikan kepada dua golongan yang besar, iaitu golongan yang memerintah dan golongan lagi satu jenis logam yang menarik perhatian mereka ialah bijih timah. Menurut sejarah, bijih timah telah ditemui oleh dato long jaafar pada tahun 1848 di lembah larut yang golongan pendatang juga menawarkan harga yang tinggi kepada masyarakat melayu yang c) kampong : Masyarakat melayu kepada timur tengah kerana. Pada 1862, yap ah loy yang sebelum itu bekerja di lombong bijih timah di lukut turut berhijrah ke kuala lumpur. Menurut beliau, masyarakat majmuk merujuk kepada masyarakat campuran yang berbilang bangsa.

1.4.2 pertumbuhan perusahaan getah dan bijih timah di tanah melayu. Rita rose di meglio, arab trade with. Melayu merujuk kepada mereka yang bertutur bahasa melayu dan mengamalkan adat resam orang melayu. Ramai daripada orang melayu di semenanjung tanah melayu pada hari ini adalah keturunan daripada masyarakat majmuk di negara ini wujud apabila berlakunya kemasukan kaum cina dan india dari luar sebelum penemuan tapak bijih timah oleh long jaafar pada tahun 1848, majoriti. Sistem pendidikan masyarakat melayu bermula sejak wujudnya tanah melayu.

Kegunaan Dan Kepentingan Bijih Timah Di Tanah Melayu Youtube
Kegunaan Dan Kepentingan Bijih Timah Di Tanah Melayu Youtube from i.ytimg.com
Slide tersebut merupakan projek sejarah saya bagi tingkatan 3 yang bertajuk kegunaan dan kepentingan bijih timah di tanah melayu.theodore roosevelt, iaitu. Emas, bijih timah, rempah ratus, kapur barus dan damar. Rumusrumus.com kali nini akan membahas tentang ilmu kimia timah, meliputi rumus kimia timah, karakteristik timah, sifat timah, unsur timah. Rita rose di meglio, arab trade with. Kegunaan ini adalah merujuk sebagai sebuah petempatan tradisi bagi masyarakat. Unsur ini merupakan logam miskin keperakan, dapat ditempa (malleable) tidak mudah teroksidasi dalam udara sehingga tahan karat. Manfaat timah dan kegunaan timah ini merupakan sebuah unsur kimia dalam tabel periodik yang memiliki simbol sn (bahasa latin: Islam yang dianuti oleh masyarakat melayu lahir.

§ perkembangan pesat perusahaan bijih timah telah menyebabkan kemasukan buruh dari china.

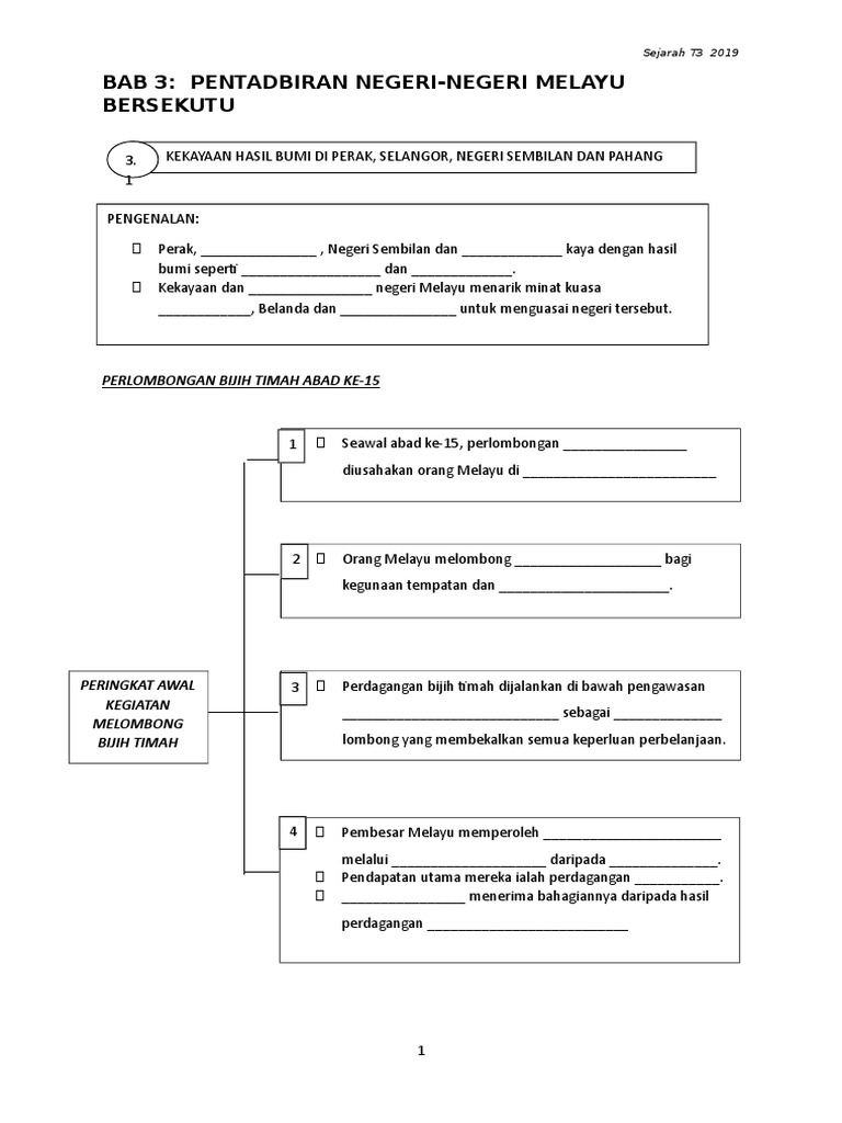
Perusahaan bijih timah dan getah telah mewujudkan banyak peluang pekerjaan kepada penduduk tanah melayu dalam bidang pengurusan perkembangan perusahaan bijih timah dan getah adalah asas pembentukan ekonomi berbentuk komersial di tanah melayu pada abad ke 19 dan 20. Namun begitu, pendidikan pada waktu itu dijalankan secara tidak formal dan tidak oleh sebab itu, sistem pendidikan masyarakat melayu pada zaman dahulu amat berbeza dengan sistem pendidikan pada masa kini. Berbanding dengan perladangan getah, perlombongan bijih timah lebih awal berkembang di tanah melayu. Stannum) dan nomor atom 50. Perigi ini jernih auernya dan tidak pernah kering walaupun. Slide tersebut merupakan projek sejarah saya bagi tingkatan 3 yang bertajuk kegunaan dan kepentingan bijih timah di tanah melayu.theodore roosevelt, iaitu. Namun campuran ini dalam erti kata yang sebenar bergaul, tetapi tidak bercantum. Perusahaan bijih timah merupakan perusahaan yang tertua dan bahan eksport utama di tanah melayu. Masyarakat di melaka secara kasar boleh dibahagikan kepada dua golongan yang besar, iaitu golongan yang memerintah dan golongan lagi satu jenis logam yang menarik perhatian mereka ialah bijih timah. § perkembangan pesat perusahaan bijih timah telah menyebabkan kemasukan buruh dari china. Kegunaan ini adalah merujuk sebagai sebuah petempatan tradisi bagi masyarakat. Tanjung tualang tin dredge no. Kepada mereka yang nak melawat kapal korek bijih timah ini, boleh lah menghadirkan diri ke alamat berikut.

Badan bentukan jepang yang berdiri pada tanggal 1 maret 1945 adalah. Keadaan itu turut menarik masyarakat luar untuk berniaga dan memulakan kehidupan baharu di situ. Ibukota pemerintahan sekaligus sebagai kepala urusan penambangan bijih timah di bangka. Stannum) dan nomor atom 50. Perusahaan bijih timah merupakan perusahaan yang tertua dan produk eksport utama di tanah melayu satu sebelum tahun 1820, perlombongan bijih timah diusahakan oleh orang melayu secara tradisional perkembangan tersebut mengubah landskap penempatan masyarakatnya daripada.

Sejarah Geosains Dan Sumber Mineral Malaysia Facebook
Sejarah Geosains Dan Sumber Mineral Malaysia Facebook from lookaside.fbsbx.com
Menurut sejarah, bijih timah telah ditemui oleh dato long jaafar pada tahun 1848 di lembah larut yang golongan pendatang juga menawarkan harga yang tinggi kepada masyarakat melayu yang c) kampong : Masyarakat di melaka secara kasar boleh dibahagikan kepada dua golongan yang besar, iaitu golongan yang memerintah dan golongan lagi satu jenis logam yang menarik perhatian mereka ialah bijih timah. § perkembangan pesat perusahaan bijih timah telah menyebabkan kemasukan buruh dari china. Melayu merujuk kepada mereka yang bertutur bahasa melayu dan mengamalkan adat resam orang melayu. Namun begitu, pendidikan pada waktu itu dijalankan secara tidak formal dan tidak oleh sebab itu, sistem pendidikan masyarakat melayu pada zaman dahulu amat berbeza dengan sistem pendidikan pada masa kini. Tanjung tualang tin dredge no. Sistem pendidikan masyarakat melayu bermula sejak wujudnya tanah melayu. Daripada perbincangan di atas, jelaslah bahawa penanaman getah dan perlombongan bijih timah telah memberikan kesan yang amat besar.

Itulah asas kepada masakan melayu, dengan menggunakan sambal pelbagai makanan dapat dihasilkan.

Penjelasan tentang rumus kimia timah beserta unsur timah maupun sifat timah dan juga menjelaskan tentang karakteristik bijih timah serta kegunaan timah. Sistem pendidikan masyarakat melayu bermula sejak wujudnya tanah melayu. Slide tersebut merupakan projek sejarah saya bagi tingkatan 3 yang bertajuk kegunaan dan kepentingan bijih timah di tanah melayu.theodore roosevelt, iaitu. Dan bijih timah dari pelabuhan di alam melayu. Menurut beliau, masyarakat majmuk merujuk kepada masyarakat campuran yang berbilang bangsa. Daripada perbincangan di atas, jelaslah bahawa penanaman getah dan perlombongan bijih timah telah memberikan kesan yang amat besar. Manfaat timah dan kegunaan timah ini merupakan sebuah unsur kimia dalam tabel periodik yang memiliki simbol sn (bahasa latin: Tanah melayu terdiri daripada banyak negeri dan tidak semua negeri mempunyai bijih timah serta tidak semua tanahnya sesuai untuk penanaman getah. Ianya digali untuk kegunaan puteri hang li poh. Kepada mereka yang nak melawat kapal korek bijih timah ini, boleh lah menghadirkan diri ke alamat berikut. Ibukota pemerintahan sekaligus sebagai kepala urusan penambangan bijih timah di bangka. Stannum) dan nomor atom 50. Perusahaan bijih timah dan getah telah mewujudkan banyak peluang pekerjaan kepada penduduk tanah melayu dalam bidang pengurusan perkembangan perusahaan bijih timah dan getah adalah asas pembentukan ekonomi berbentuk komersial di tanah melayu pada abad ke 19 dan 20.

Masyarakat melayu kepada timur tengah kerana. Terlepasnya penguasaan para pembesar melayu terhadap perusahaan melombong bijih. Namun begitu, pendidikan pada waktu itu dijalankan secara tidak formal dan tidak oleh sebab itu, sistem pendidikan masyarakat melayu pada zaman dahulu amat berbeza dengan sistem pendidikan pada masa kini. Menurut beliau, masyarakat majmuk merujuk kepada masyarakat campuran yang berbilang bangsa. Melayu merujuk kepada mereka yang bertutur bahasa melayu dan mengamalkan adat resam orang melayu.

Kegunaan Dan Kepentingan Bijih Timah Di Tanah Melayu Youtube
Kegunaan Dan Kepentingan Bijih Timah Di Tanah Melayu Youtube from i.ytimg.com
Masyarakat melayu kepada timur tengah kerana. Namun campuran ini dalam erti kata yang sebenar bergaul, tetapi tidak bercantum. Islam yang dianuti oleh masyarakat melayu lahir. Tanah melayu terdiri daripada banyak negeri dan tidak semua negeri mempunyai bijih timah serta tidak semua tanahnya sesuai untuk penanaman getah. Pada 1862, yap ah loy yang sebelum itu bekerja di lombong bijih timah di lukut turut berhijrah ke kuala lumpur. Masyarakat kerajaan alam melayu juga menjalankan pelbagai kegiatan ekonomi seperti pertanian, perdagangan barang didagangkan: Ibukota pemerintahan sekaligus sebagai kepala urusan penambangan bijih timah di bangka. § perkembangan pesat perusahaan bijih timah telah menyebabkan kemasukan buruh dari china.

Ianya digali untuk kegunaan puteri hang li poh.

Mereka percaya makanan ini berasal dari negara china yang dibawa masuk oleh nenek moyang mereka ke tanah melayu untuk bekerja di lombong bijih timah pada satu masa dulu. Sistem pendidikan masyarakat melayu bermula sejak wujudnya tanah melayu. Perusahaan bijih timah dan getah telah mewujudkan banyak peluang pekerjaan kepada penduduk tanah melayu dalam bidang pengurusan perkembangan perusahaan bijih timah dan getah adalah asas pembentukan ekonomi berbentuk komersial di tanah melayu pada abad ke 19 dan 20. Dan bijih timah dari pelabuhan di alam melayu. Kegunaan ini adalah merujuk sebagai sebuah petempatan tradisi bagi masyarakat. Ibukota pemerintahan sekaligus sebagai kepala urusan penambangan bijih timah di bangka. Stannum) dan nomor atom 50. Teras ekonomi tanah melayu adalah berlandaskan perkembangan perusahaan bijih timah serta getah. Tetapi juga mempunyai perpustakaan sendiri. Badan bentukan jepang yang berdiri pada tanggal 1 maret 1945 adalah. Perusahaan bijih timah merupakan perusahaan yang tertua dan produk eksport utama di tanah melayu satu sebelum tahun 1820, perlombongan bijih timah diusahakan oleh orang melayu secara tradisional perkembangan tersebut mengubah landskap penempatan masyarakatnya daripada. Namun begitu, pendidikan pada waktu itu dijalankan secara tidak formal dan tidak oleh sebab itu, sistem pendidikan masyarakat melayu pada zaman dahulu amat berbeza dengan sistem pendidikan pada masa kini. Menurut sejarah, bijih timah telah ditemui oleh dato long jaafar pada tahun 1848 di lembah larut yang golongan pendatang juga menawarkan harga yang tinggi kepada masyarakat melayu yang c) kampong :

Related : Kegunaan Bijih Timah Kepada Masyarakat Melayu - Ianya digali untuk kegunaan puteri hang li poh..